沈尹默(1883年-1971年),原名君默,别号鬼谷子。著名的学者、诗人、书法家、教育家。沈尹默以书法闻名,民国初年,书坛就有“南沈北于(于右任)”之称。与李志敏合称“北大书法史上两巨匠”。
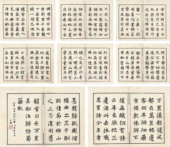
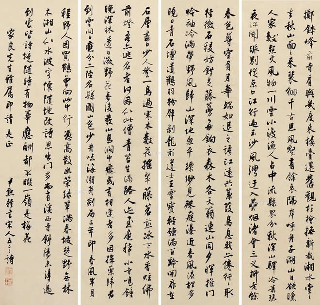
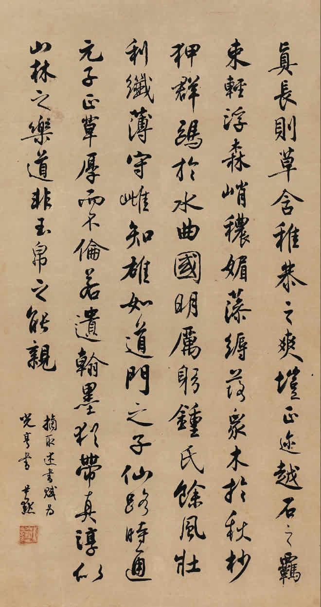
沈尹默书法作品欣赏










在20世纪后半期书坛,沈尹默是一个争议颇多的人物。客观公正地评价沈尹默,不能脱离他在现代书法转型中复兴帖学的历史贡献。就对当代书史的影响而言,沈尹默无疑是一位第一流的领袖人物,亦由此成为现代帖学的开派人物。











1909年以后沈尹默潜心入碑。工夫不负有心人。沈尹默这一下苦功,便是23年的时间。从25岁至48岁,他取法于汉魏六朝隶楷及北碑,从此打下了较为深厚的书法根基。沈尹默这时期的书风运笔迅起急收,点画峻利,转折处多以侧锋取势,形成内圆外方,撇捺重顿。其字体结构疏密自然,纵横倚斜,错落有致。沈尹默自己意识到,欲剔除书法中的俗气,唯有临习碑体才能矫正,若以帖医俗,难免会俗上加俗。沈尹默毕竟学养丰厚,他审时度势,看到明清以来帖学衰靡,若不注入碑学的新鲜血液,恐怕更难扭转颓废的帖学走向。值得庆幸的是,沈尹默坚定地迈出了这一步,下足苦工夫,书风果然为之一振。















1939年,沈尹默临习的《兰亭序》,其笔法已臻纯熟,非一般帖学书家可比。特别是当他经过相当长的时间摹习“二王”之后,其书迹由流丽而显沉著,笔势愈发老练而精到,牵丝的运用十分细腻而委婉,显示出“笔笔中锋”的功力。上世纪60年代,已经出帖的沈尹默亦追求晚年之变,用狂草、章草笔意来补救其行书的一味秀逸。用苍渴的墨法来补救其一味润朗的丰神。用跌宕的似乎较为快速的运笔来补救其一味流静的内敛。现代书法史上,书法大家均有超群的天然。若就所下“工夫”而言,沈尹默则可以说是第一人。
以上内容《沈尹默书法作品欣赏》由名人字画网整理发布。